JOURNAL OF THE AUDIO ENGINEERING SOCIETY
APRIL 1965, VOLUME 13, NUMBER 2
Percy Wilson
"The Gramophone," London, England
THE modern high-grade stereo cartridge reacts to contaminated records in ways that went more or less unnoticed with lower-grade types. This is due basically to three characteristics: a diminutive stylus of low mass, a relatively high compliance in both planes, and a low tracking force arising primarily from the necessary relationship between stylus tip radius and the elastic limit of record material.
Trouble due to surface contamination shows up mainly in spurious noises becoming more obtrusive, one factor concerned being the improved transient response designed into the cartridge. Certain types of contamination also result in high-note loss, the same condition often causing styli to get so clogged with collected deposit that they eventually fail to transduce. Owing to high transient response, and if it is equally matched at the acoustic transducing stage, a tiny stylus colliding with a particle of grit in the outer grooving, where the impact velocity is greatest, can thus produce quite shattering noises at times.
Under the prevailing atmospheric conditions, high-note loss sets in the moment even a new record is played, becoming more identifiable at each subsequent playing. People are often disappointed when they change over to an expensive high-grade cartridge, perhaps with a new arm and other new components to match. A stereo record, first time out of its sleeve, may and often does sound brilliant and noise-free, but seldom is this experience repeated if the person is a city or town dweller. The odd noise or two usually appears on the second playing, more on the third, and so on. The owner tries to get rid of the noises, often succeeding only in making matters worse.
A detailed research has been undertaken by the author and his associates during the past three or four years to determine the physical nature of record contamination, how it arises, why existing attempts to avoid it, whether by
ingenious brushing arrangements or by anti-static dopes, had failed. This research has produced some fascinating explanations of a number of apparent anomalies. It has also led to a firm conclusion that, provided a record is not scratched or otherwise ill-treated, its effective life can be extended indefinitely: it can now be played ad infinitum with a clarity, crispness and brilliance and an absence of surface noises that only a record straight off the press normally achieves.The investigation started with the assumption that the requirements for cleanliness were: 1. during the playing of the record there should be no unrelated and sporadic "pops and crackles" (a regular repetition of clicks would most probably be due to a scratch, though it is recalled that on one occasion it was found that a sliver of chewing gum was responsible); 2. microscopic examination of the stylus after a record (or parts of it) had been played should reveal no collection of foreign matter on the tip.
It was also hoped to develop cleaning techniques that would reveal the nature of any contamination. This led to many frustrations but in the result it has become possible to distinguish accurately between various types even in minute degree. Thus, when someone blew three mouthfuls of tobacco smoke through a metal tube (so as to avoid spittle—never blow on a record, by the way, to remove fluff!) about 1 foot above a clean rotating record, our latest technique revealed the tobacco tar as a brown stain on a linen pad.
TYPES OF CONTAMINATION
Record contamination can be divided into three categories, viz., discrete particles such as soot, dust, grit, textile fluff, tobacco ash and cosmetic powders: fluids which, after evaporation, leave behind crusty deposits, such as household sprays and saliva deposits; and condensates formed from fumes, such as tobacco smoke, cooking vapors and automobile exhaust fumes. These three types of contamination are usually met in combination, thus resulting in mixtures that are anything but easy to remove safely. The mixing is in any case started by stylus traverse itself, but the greatest effect is when grooving is wiped with a cloth that is not quite dry. whether before or during playing.
Throughout, we have of course been fully apprised of the problems of electrostatic attraction and have taken full precautions to minimize it. One thing, however, became abundantly clear during the early part of the investigation: the treatment of the record surface with any material whatsoever that leaves a deposit increases the liability to noisiness within a few months. Detergents in particular (whether anionic or cationic) will produce a battery of pitted sections of the groove in about 12 months' time. We surmised, though we have not investigated this thoroughly, that the action was not so much on the vinyl chloride as on the lead stearate or other additives that go to make up the modern disc material.
An interesting experiment in this connection, which I mentioned before, is the following: I electrify both surfaces of a disc by rubbing with a piece of silk and show by this primitive but effective electroscope how powerful the static is. I now place a piece of aluminum foil on one surface and the net charge on the other surface is neutralized. I remove the foil and the charge flows back again.1 Hence the value of a conductive turntable mat which has just been introduced in Britain. It has the same effect as the aluminum foil in neutralizing the surface field on the opposite side of the record, so that the problem of static attraction while the record is being played is solved.
Now a record should not be anti-static while it is removed from the turntable. Any static charge can be used to protect the record from finger marks while it is being handled or from scratches while it is being inserted into or withdrawn from its sleeve. The method is simple and needs only a piece of thin, light but stiff tissue 12 in. by 24 in., folded over to make a (double) 12-in. square and with the two corners cut off at the fold, with the cuts sealed on the angles. The record can then be inserted within the fold without sliding, and the tissue will gently adhere to it on both faces, and so protect it from damage, even during the act of sliding the whole thing in and out of an inner record sleeve—folded end first.
The only safeguard that then needs to be added is a protection from finger marks while the record is being taken from the turntable and until the tissue is folded over it. The most convenient way of doing this is to use a small folded piece of card (old Christmas cards are the right thickness) between thumb and first finger.
The research to be described in this paper, however, goes far beyond static effects. The fundamental nature of the problem can best be illustrated by another simple experiment.
Set a record rotating at 33 rpm on a massive turntable, preferably one of considerable thickness. Then get a piece of rubber or plastic tubing and fix a metal tube in the end. Gently puff tobacco smoke through the rubber tubing and direct it (as cooled to room temperature by the metal) above the middle or thereabouts of the record. You will find that the smoke will be drawn down with a vortex-like suction towards the rotating disc, will swirl round with the disc and will then be drawn close down over the edge of the turntable.
That is what happens to the air whenever a record is played: any suspended particles are irresistibly drawn down to the record surface. I will mention some of the consequences of this, as affecting turntable design, later in this paper. At the moment, I want to call attention to the fact that this phenomenon completely explains .why "pops and crackles" arise in a record mostly at the outside grooves and then at the middle of the recorded surface. Between the two there is commonly a quiet patch, as there is also nearer to the label. In confirmation, I may add that our cleaning process actually finds most contamination in those two locations. The reasons are that there the vortex lines of force, as it were, change their direction; and for the material particles there will be an overshoot—particularly if the surface is statically charged.
But it is not only the larger particles of grit and dust that are affected in this way, as the smoke film shows. All fume condensates, whether from smog or tobacco smoke or from household fumes—the stuff in fact that smears window panes and your car wind-screens—are pulled down with even greater effectiveness since their mass is smaller relative to the vortex forces.
One practical conclusion is immediately apparent: never leave a record rotating on a turntable any longer than is necessary.
But there are more difficult things to follow. The fume condensate unfortunately readily adheres to the record surface, and because of the physical dimensions and minute turbulences involved, even to the walls of the groove and especially to the high-note modulations. It forms a sticky deposit which gradually hardens. Particles of grit of microscopic dimensions become embedded in it and eventually adhere so firmly that ordinary brushing action cannot dislodge them. But they can be dislodged, as we shall see.
This fume condensate is the most difficult form of contamination to combat. Ideally, the right course is never to allow fumes of any sort to come in contact with record surfaces, but this is more or less impracticable certainly so far as external causes are concerned. Even in air-conditioned houses, fumes do creep in from outside at times. As for internal causes, it is surprising how much condensed tobacco tar can form and build up on a repeatedly-played record: a change from a larger to a smaller stylus can result in the latter getting clogged on one playing only.
The worst condensates form in big industrial cities and. other smoggy areas where there is usually a high
proportion of soot in the air. In these cases, one does not have to change from a larger to a smaller stylus for trouble to evidence itself. Stylus traverse alone mixes the two contaminates together, producing deposits on the shank that defy dry-brushing and which only some wet-cleaning process will remove.HIGH-GRADE AND LOW-GRADE CARTRIDGES
An interesting point arises here. Why do such troubles evidence themselves more with high-grade than with lower-grade equipment? One reason is that with the latter the speaker or amplifying equipment may mask the effect, but usually this is because of the cartridge. First, its inherently poor transient response makes it relatively deaf to spurious noises, or at least it takes the "bite" out of clicks caused by grit. Secondly, the ratio of condensate film collected to stylus mass is so relatively low that it does not become a bugbear: with its higher tracking force, the stylus just ploughs through the film each time, so maintaining permanent contact with the groove walls. The deposit keeps being pushed up the stylus shank which, being so relatively long, can store quite an amount before anything untoward happens. This same ploughing action also overcomes a lot of sporadic noise trouble; what with higher tracking force and lower compliance, particles are pushed out of contact with walls, likewise becoming stored up at the back end of the shank.
The difference in mechanical behavior between low-grade and high-grade cartridges then is that, with the latter, the stylus tends to jump every particle encountered no matter its size, so producing noises of various types; and because of the combination of high compliance and low tracking force, the stylus tends to ride up and into blobs of deposit collected along the groove walls.
Smog film in particular is responsible for a lot of trouble when, for example, a person buys a high-grade cartridge and uses it on old mono records in order to get the best out of them. They often do sound better to begin with, but, as likely as not, the cartridge is put out of action well before the end of playing. This is due to a dust and film mixture never before disturbed by a larger-radius stylus and which past cleaning processes had never extracted.
An unfortunate aspect of all films (when allowed to build up) is that no form of dry-cleaning will remove them without damaging the grooving; wet-cleaning has to be resorted to, in a way that ensures every vestige of resultant sludge being extracted.
For maintaining records in first-class condition so that justice can be done to them with good modern equipment, new techniques for both dry-cleaning and wet-cleaning have therefore had to be evolved.
The evolution of these techniques was helped largely by first studying existing general methods, their shortcomings, and the design rules they prompted. Typical findings were:
L Special cloths or tissues of the dry-cleaning type can seriously impair record surfaces. Grit held in the fabric
can produce scratches that a high-grade cartridge will register and impregnations in the cloth can result in particle mixtures becoming bonded to the grooving. Moreover, seldom will a cloth of any type remove every vestige of loose particles in the grooving, let alone particles that have become stuck to the walls.2. Though highly effective in some cases, dry-cleaning devices of the "tracking brush" type have their shortcomings. So far as dry loose contaminate is concerned, they do collect and hold it but when their collection capacity is exceeded, they start shedding some of it back on to the surface. As for film contaminate, they do pick up some of it. which is§ why brushes develop black tips, but they also leave some of it behind, at the same time mixing it up with any particles remaining in the grooving. This is the reason why records sometimes sound noisier when such devices are used with highly sensitive stereo cartridges.
3. A repeatedly-used damp pad or like device can become a positive menace. Under circumstances by no means infrequent, it can consistently make surfaces far noisier than without such treatment, and can result in severe stylus-clogging. These devices themselves get clogged with grit, dust and film, transferring back more than they ever pick up. Periodic washing is no remedy.
4. Some users, in attempts to get pads clean again, resort to soap or detergent. It is extremely difficult to remove all soap or like residue and more often than not traces of it remain in the pad. The result is that a certain amount gets transferred back to records then treated. After playing them, a tiny stylus can become obliterated by fine soap shavings scraped off the groove walls.
5. Certain types of detergent are particularly troublesome. They leave a deposit on styli which, if not soon removed, hardens and defies subsequent removal. I have already commented on the long-term effect on records.
6. Much research has gone into suitable fluids for wet-cleaning, particularly for cases where records have been allowed to get into a bad state. For the majority of cases no more than distilled water is needed. For the tougher cases, a variety of fluids has been tried, but up to now the only safe and satisfactory one found is a dilution of ethyl alcohol (say 2~5%) in distilled water. There may, of course, be other fluids equally safe and satisfactory, but they have not yet come to light. As for cleaning smog and like deposits off styli, pure ethyl alcohol applied with a miniature "stroking" brush has been found effective and safe, certainly with all modern ways of fixing styli to cantilevers.
7. Special problems arise with records given anti-static treatment after leaving the factory. It sometimes gets applied to surfaces not spotlessly clean, having been subjected to fumes in the meanwhile or the surfaces handled with the bare fingers. Imperfect bonding of the anti-static film thus occurs and, in time, it will start to flake off here and there under stylus action, so producing sporadic noises and collecting around the stylus and up the cantilever. When this happens, there is no option but to remove the film, an operation involving considerable time and patience if grooving is not to be impaired by rough or careless treatment.
8. Records sometimes develop loud clicks which do not respond to any normal cleaning treatment, the owner usually attributing them to factory defects. This sometimes is the case but it is often due to a grit particle with a bonding area so relatively large that loosening fluid cannot penetrate right through it. The grit thus remains stuck. A way has been developed for dealing with such cases without damaging the groove walls. The principle is to apply a nearly-lateral force to the particle, with next to no vertical force applied to the record surface.
The next stage is to consider the principles and rules arising from the findings just quoted. To begin with, the odds are against a record remaining in pristine factory condition right up to the stage of final purchase. This is on account of the handling and subjection to fumes between caving the factory and coming to the owner's possession. A is the reason why no valuable record should be played without the user first examining it carefully under a strong light, and until in any case he has at least dry-cleaned it properly. The only way records can be assured of reaching purchasers without risk of "intermediate" impairment is for them to be packed in sealed sleevings, such as polyethylene bags, before leaving the factory. The purchaser would then be the first to break the seal. There is rather a counterpart to this procedure in that, when young people buy a current popular record, then often rush into a shop, buy the record without examining it, and then go straight home to try it. This is the reason why most pop records, even when played on high-grade equipment, are usually completely noise-free on the first playing. No better way of buying a record could be devised. It provides a moral to the more serious enthusiast who often examines his record in the shop and tries it out on damaged shop equipment.
Considerable attention has been given to ways of preventing fumes condensing on record surfaces. A little headway has been made, involving amongst other things a revised type of turntable as referred to later, but the problem is likely to remain for some time ahead. Much the same applies as regards airborne particles. In the meanwhile, the only way out is periodic cleaning, the "dry" method for removing loose particles and the "wet" one for removing stuck particles and condensed film. The simpler of the two of course is the "dry" process, where grooving in the stylus path can be progressively made clean. Our more recent experiments show that this can be made 90% effective.
The requirements for an ideal particle-removing device on the playing deck are as follows:
1. The method should be proof against groove-wall damage in any way, not even impairing to the slightest degree the surface sheen of modern pressings.
2. Every vestige of removable contaminate should be extracted.
3. The device should never shed any collections back onto
the surface no matter how much is encountered, a requirement particularly relevant to dusty areas where there are high winds.4. The device should have no effect whatever on record speed.
5. The action of the device should never produce noise in the pick-up.
The most effective way of applying these requirements is with a tracking-type suction head with certain ancillaries. Evolving the design was no simple and straightforward matter. For instance, mere suction, regardless of the airflow rate, is not enough; it has to be supplemented by other actions. Perhaps the greatest problem of all was in keeping the loading low and also the frictional characteristics. The pressure exerted on the record surface is of the order of 0.25 gram, the force remaining stable even when the device is applied to severely-warped records.
The device has certainly come up to expectations. The most effective tests were made during the past London winter in a district notoriously prone to high soot content. The device embodies a filter, of course, so that extractions do not get back into the suction generator. The filter, initially a wad of white material, turned almost jet black on occasions after only a few hours of record-playing, the stylus emerging at the end of each run with a deposit consisting only of smog film and not a soot mixture. The difference amounted to a slightly-blobbed tip instead of a collection extending almost to the end of the cantilever, which regularly happens under such atmospheric conditions without the suction device in operation. The main criterion, of course, is whether it does effectively stop or at least appreciably reduce sporadic noises caused by grit, dust and such harder types of particles. It does, to a degree that sets a new standard of listening pleasure.
Another and perhaps more significant result of this cleaning technique should be noted. A record containing some grit particles was played with a stereo cartridge having a ,0004-in. tip radius and with an arm of very low frictional characteristics. Without the suction device in action, the tracking force was gradually lowered until the phenomenon of mistracking occurred; it happened just as the (1 gram) minimum rating for mistracking was reached. It ceased immediately the suction device was put in operation, the tracking force then being progressively lowered further still. The "misbehavior" point then become solely dependent on the modulation excursions, in the case concerned the force being reducible to 0.2 g with reproduction still being as it should.
As mentioned earlier, there comes a time when most records played in polluted atmospheres have to be given wet-cleaning treatment if brilliance is to be retained and the stylus kept reasonably free from clogging. This procedure bristles with problems which fortunately have now been overcome.
One conclusion soon reached was that any manual form of wet-cleaning was far too haphazard a method for producing consistently good results; they were achievable only
by a ''machine'' method, with manual operations confined to preparatory actions. The reason will become clear after considering the basic requirements involved:a. After a surface has been wetted and cleaned, sleeving and then storing must not take place unless and until the surface, right down to the groove roots, is bone dry. This is a common trouble with manual wet-cleaning: damp pads are applied, the user not realizing that, particularly in a humid atmosphere, moisture may remain in the root area for up to half an hour or more. However, he does not wait that long, only to find later that he has to pry the record away from the polyethylene lining of the sleeve, then finding on playing it that he gets a whole battery of noises.
b. So, in order to avoid long waits before being able to sleeve cleaned records, there should be means for drying them quickly.
c. The quick-drying process must be such that airborne dust will not sweep the surface and stick to grooving when it is not yet dry.
d. The quick-drying procedure should comply, however, with a certain rule, which is that the drying device must leave the surface just passed with a remanent degree of dampness that evaporates within a few seconds afterwards. This is known as the "damp persistence'1 time. It must be short to minimize the chances of random airborne particles meeting damp grooving and thus sticking, and it has to be long enough to ensure that the condition still does apply when ambient air is warm and dry. The need for "damp persistence" itself is to safeguard against the generation of electrostatic charges and their consequent attractive effects.
e. The machine should embody means for dislodging firmly-stuck particles.
The most difficult to fulfill of these requirements proved to be the proper drying of the grooves in a record. The moisture adheres so pertinaciously there that drying with a pad or a suction mop is not entirely effective. The requirement was eventually met by the inclusion in the wet cleaning machine of a spinning camel-hair brush operating after a suction mop.
When such a brush is rotated at a high speed (say 3000 rpm) the bristles fly out laterally and then assume a flat circular contour. Along its axis there is an air suction inwards to the contour; laterally there is a blowing effect of considerable velocity. Incidentally, this is the same effect, only in an exaggerated degree, of the vortex motion already noted for the spinning turntable.
If, therefore, one tracks a spinning brush across the record following a suction mop, so that the bristles just touch the surface, the blowing effect will dry the moisture out of the grooves, together with any loose grit or dust that has escaped the mop. A high polish results, quite comparable to the original off-the-press polish, whatever the previous contamination.
The ideal "wet-cleaning" machine should therefore consist of: 1. a liquid applicator preferably operated with scouring bristles so arranged as to penetrate the bottom of the groove; 2. a mop with a suction device to remove the body
of the liquid together with the contaminate; 3. a spinning brush to perform the final drying and polishing.A prototype machine has been evolved which meets these requirements. As a measure of what it can do, the following is typical of conditions which are sometimes met and which, in the past, have usually defied completely satisfactory remedial action. A record can be in such a filthy state that the music is partly drowned by sporadic noises, and be so infested with smog, built up after many exposures to it, that the stylus is put out of action by "blobbing." It is then wet-cleaned on the machine, perhaps involving several runs owing to the severity of the case, and then played again. The usual result is reproduction at least not far short of what it sounded like when the record was new.
The case just taken is exceptional; in all normal cases where records are used and stored with care but which require occasional treatment to remove film, finger marks, stuck grit and so forth, only one cleaning is involved, taking only a few minutes.
The machine, now come to be known as the Record Doctor, has proved invaluable for reconditioning old mono records so that they can be played properly with modern stereo-type equipment. In many cases the musical content of early recordings has been a revelation. When they were new, the relatively massive styli then in vogue were incapable of transducing the full content, and when they became old, encrustations of contaminate barred the modern cartridge from functioning properly.
The mechanical principle used for wet-cleaning a record is its rotation at a relatively high speed, with various devices then engaging the upper surface radially inwards. Once preparatory actions are completed and the machine started, all subsequent actions are automatic. The design takes into account the differing rates of groove speed between inner and outer grooving. Fluid is never applied in "dousing" quantities which means, if nothing else, that the procedure is never a messy operation. Precautions are embodied against labels ever getting wet.
An important feature is that the record is not supported on the usual type of turntable but on a miniature one the same size as* the label; it is made stable by means of a clamping weight. It completely solves the "dirty mat" problem, so ensuring that a cleaned record remains clean on both sides for immediate sleeving and storage. This, however, was not the primary reason for adopting it.
At this point some further comments on the subject of turntable mats are called for. They suffer, of course, from the same sort of contamination as records, by gravitational collection in some cases and by collection from polluted records in others. Though few people seem to realize it, dirty mats are a prolific source of trouble with sensitive cartridges, and all the care and attention bestowed on a favorite record can be nullified by placing it on a mat that merely receives a "wipe-over" now and
then.Here again two types of contaminate are involved: discrete particles and tacky film. Take particles first. There is an interesting psychological effect arising from the very low ratio at times of rib width to inter-rib troughing. Dust readily shows up in troughing, usually producing the urge, on that ground alone? for people to get rid of it. So they assiduously go over each section, making sure that nothing is left in the crevices, but often ending up by giving the ribbing only a cursory wipe. It is the ribbing, of course, that needs the meticulous attention, and provided this part of the mat is clean, the state of the trough area hardly matters.
The trouble, of course, is that dust on the rib crests gets pressed into record grooving, thus producing noises at intervals governed by the ribbing pitch. This transfer action is particularly marked when the "record-to-mat" pressure is not even all over, which it seldom is, and the age of the mat often has some bearing on the matter. If too heavy and abrasive a cleaning pressure is repeatedly exerted, rib crests become roughened and more spongy, thus improving the conditions for more pick-up and then more transfer.
Dust sufficient to bring on noise troubles is not readily detectable by the naked eye, the ribs themselves being so narrow, and it should never be assumed they are clean because they look clean, not even when the troughing itself looks in perfect condition. A simple test is to wind a piece of dark velvet around a pencil, breathe on it for a few seconds, and apply the device radially to the rotating mat. With ribbing that appeared clean at the start, the velvet will often emerge with spaced patterns of dust visible from several feet away.
Cleaning action naturally means relative movement between cleaning device and disc. It can be done with a stationary device and a moving disc, or vice versa, or a combination of both. The dual movement principle is the one used but it became practicable only after reducing the "centrifugal draught" effect to negligible proportions—otherwise it would have been a case, with fumes about, of polluting the surface almost as fast as the previous pollution was being removed,
Three factors entered into tie solution. First, the rotation time was reduced to two minutes, being only about one-tenth of the time for a 12-in. record played at 33 rpm. Secondly, speeding up the rate of rotation for wet-cleaning means that air moves faster horizontally over the surface, thus making it less prone to downward deflection. This, however, is not necessarily so at the rim, if something there has a contour which causes turbulence.
By dispensing with the normal turntable, its rim-contour problems ceased to exist, leaving only the record edge itself to be considered. This resolved into the design of a rotating unit in which, for all practical purposes, the "free air" conditions below the record matched those above it. This produced a more or less balanced "centrifugal draught" action on both sides, causing the air to fly past the rim with a nearly-flat trajectory.
The points just mentioned lead naturally to the question of turntables. All normal ones have rubber mats, relatively long rotation times, and rim contours that produce turbu
lence to some degree or other—all conducive to the contamination of records in other than perfectly clean atmospheres. A case thus arises for miniature turntables on the playing deck. Experiments have shown that the advantages are far from hypothetical, so much so that practical points were soon considered. This is where the difficulties lie. To apply the principle would mean drastic changes to playing-deck design, one being the provision of the necessary air space below the record, and the other the location elsewhere of the dynamically-balanced "mass represented by the existing type of turntable.The main functional problem is that an unsupported disc like an LP record can be stimulated into vertical oscillation, and abnormal precautions against this are necessary. For instance, rumble has to be kept very low and an auxiliary like the suction device must never generate vibration that can get to the cartridge laterally through the cross-section of the record.
The simplest arrangement is merely to use a disc fitted to the final spindle, its diameter being that of a record label, with a rubber ring to stop slip and a clamping weight to make the record stable. However, the tendency these days is for records to become thinner and thinner, now veering towards the stage where they must be supported nearly to the rim to stop them from drooping during playing. This has been forestalled by two alternative arrangements. One is the same miniature turntable but with spider-like arms extending radially outwards and carrying a rubberized an-annulus that supports the record close to the rim. The other is a thin, stiff, non-ferrous plate reaching nearly to the rim and processed in a way that relieves all internal strains. Both would entail careful handling, of course, to avoid being knocked out of true alignment. With good aerodynamic design, both would come close, in characteristics, to the simple turntable first mentioned.
Because of the practical difficulties mentioned, it may be a long time before miniature "'balanced draught" playing turntables appear, but when they do, it will help appreciably towards record cleanliness.
IDEAL AND FAULTY PLAYING CONDITIONS
Studies over the past two years included a subject seldom aired in problems of this nature, the tackling of contaminate at the source and the general conditions that apply in rooms where phonograms are operated. The subject is best introduced by quoting the best place for operating the modern specialized phonograph—by an Eskimo in an igloo near the North Pole during the summer when he does not have to light his whale oil lamp. His own central-heating system is body heat so that he does not have to resort to man-made devices which generate fumes. He also has no vehicular traffic passing his front door, nor is he troubled to any appreciable degree with dust and grit.
So far as our own habitats are concerned, contaminate are all around us. Full air-conditioning in homes has gone a long way towards keeping out sources of trouble but dust is still tracked into rooms on shoes and brought in o clothing, and people still smoke, to name only two thing
s; be reckoned with. However, even under these conditions .lie most sensitive equipment can be made to work satisfactorily with a minimum of record maintenance, but only subject to certain things not being done. It is because so man\' people do these things that the results sometimes leave them in despair.Various "home" happenings have been investigated, covering all seasons of the year and a wide variety of contaminates, and the findings leave no doubt about the importance of this aspect of record care. Perhaps the best way is to refer to them subjectively with a typical example.
Friends are invited for an evening of serious record-playing, perhaps on a new phonograph recently acquired. To help create the impression intended, everything must, of course, be in perfect order, so great activity commences in getting the music room ''straight." The vacuum cleaner is brought out and applied to everything it can deal with, which so far as extraction is concerned is an excellent procedure; like the turntable suction device, particles are collected and stored. However, few people ever think about the exhaust end of the cleaner; carelessness in this direction can result in the air being filled with fine dust blown out of inaccessible places. Cloth dusters are then brought to bear and are usually operated on the basis that the visitors are bound to examine everything in the room from floor to ceiling. The final action, usually, is to "puff up" the cushions by vigorously operating on them like a pair of bellows.
So far so good, but the man of the house then does his bit, by making sure that the playing deck, which the visitors are also bound to examine, is perfectly clean. He brushes or wipes every visible surface, often accompanied by a certain amount of blowing. He may also lay out a few new records, still in their covers, in readiness for the session.
Apart from deliberately setting out to dirty the air and to make things difficult for playing deck and record, nothing more inimical to good noise-free reproduction could be devised. This, in fact, was a typical home procedure specially studied, to see what concentrations of airborne particles resulted, and the rates at which the concentrations declined under various atmospheric conditions conjointly with such household plant in action as central heating and air conditioning. Sometimes room air returned to the status quo only after a matter of hours.
Similar tests were made under winter smog conditions and with heavy diesel traffic during the summer. These tests were not made for seeing if fumes did condense on records: that was already well known, right from the advent of the low-mass lightweight-tracking cartridge. They were to establish the relationship between particular concentrations and the effects on both records and styli.
A matter equally important as room air conditions is phonograph design itself, in respect to shape, disposition of components and other such characteristics; many a searcher after better results has found himself handicapped at the start by the arrangement he unwittingly went for. This applies particularly to the low-slung type of cabinet where the playing deck is close to the floor. It may look modern and fashionable but, apart from that, nothing good can be
said for it from the viewpoint of consistently good reproduction, easy operation and easy maintenance.IMPLICATIONS ON PLAYER DESIGN
Where low-mass, lightweight-tracking cartridges are concerned, optimum results depend on three basic conditions: 1. Location of the playing deck where it is least prone to contamination, and certainly away from central heating airduct exhausts and like sources of draught. 2. The protection of records during playing by means that do not themselves accentuate contamination troubles. 3. The ability to view records and styli in situ under a good light that will clearly reveal blemishes.
The ideal scheme is a playing deck at not lower than waist level, not only to get it well away from the floor but to facilitate inspection and to get components into the safest position for handling and maintenance operations. The deck should be sealed off from all sources of heat from within the phonograph, thus safeguarding against convection currents and the dirt they often carry along with them, and the covering arrangements during playing should produce no air turbulence when they are operated. The biggest offender in this last respect is the hinged lid which when raised and lowered acts somewhat like bellows, producing variations in air pressure which not only cause airborne dust and fluff to swirl around but also replenish the supply from external sources each time the lid is lifted.
The examination of styli in situ needs explaining, being particularly relevant to those who operate high-class cartridges in certain atmospheres during the winter, when record surfaces are apt to be colder than ambient room air. If there is smog about, it is often necessary to remove collected film on the stylus at the end of each playing of a 12-inch side, otherwise the stylus tip may not register properly at the next playing. Film collects in a state of slight compression all bunched around the tip: when the stylus is lifted, the blob "eases out" slightly and so prevents full re-entry into grooving on the next playing.
Another practical point emerges clearly from this analysis: the most important time to clean the stylus is at the end of a playing session. Otherwise the collected condensate will have time to harden and removal will be more difficult.
At the time this paper is being written, both the suction cleaner, which operates while the record is being played, and the Record Doctor which is used before playing to ensure that dirty records are restored to their pristine condition, are being developed and simplified. Our original devices were most complicated and even frightful affairs. They were built up, step by step, to meet specific requirements. The past year has been spent in rationalization, a process that is not yet finished. But since the analysis we have embarked upon seems to be an entirely new and promising development for the record industry, I have thought it worthwhile to report our interim conclusions. Perhaps next year I may be able to present a description of finalized apparatus.
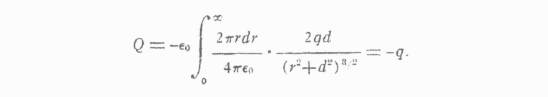
Let us restate the observation mentioned under Static and Anti-Static above, A thin insulator of large area, which has a charge on it, is placed on a conducting surface. Then the electric field on the outer surface of the insulator vanishes identically. This problem is the inverse of the problem of the electrophorus, and we see that this must happen physically as follows.
The negative charge on the insulator attracts an equal positive charge on the conductor. Then the charges appear as shown in Fig. 1. The positive charge on the conductor and the negative charge on the insulator are close together and produce no net field on the outside of the insulator.
We can prove this rigorously as follows. Let us draw an imaginary cylinder perpendicular to the surface with one end inside the con
ductor and one outside both the conductor and insulator. By a famous law of electricity—Gauss' Law—the flux of the electric field through the surface of this cylinder is equal to the charge enclosed—which is zero. (This is the law: V'E = p/€0 = 0.)
Now by the symmetry of the problem there can be no electric field normal to the sides of the cylinder. It can only be normal to the surface at the ends. We thus get the relation that the electric field outside the insulator equals the electric field inside the conductor with the directions as shown in the figure (E0ut = £«n). But inside a conductor the electric field is zero, or else a current would flow. Therefore, outside the insulator the electric field is also zero and in the problem as originally stated the phonograph record will not pick up dust while it is on the conducting surface.
Note that the insulator is not discharged by the conductor. The negative charge appears on the surface of the insulator closest to the conductor by polarization of the individual atoms comprising the insulator. But they remain bound charges. Thus when the insulator is removed from the conducting surface there will again be an electric field on the surface, and it will again be able to pick up dust. The conductor will have a negative charge on the opposite side from the insulator—but we don't mind it picking up dust on this side.
In case the statement that a charge near the surface of a conductor attracts an equal positive charge is doubted, a proof follows (it is given in most elementary electricity texts).
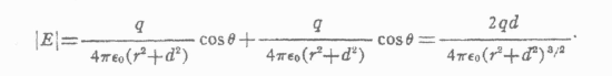
Consider the electrostatic problem of finding the fields and equi-potentials for a positive and negative charge at a distance 2d apart. There is a zero potential plane half-way in between. The field on this plane can be calculated.
The total field is the vector sum of the fields due to the positive and negative charges, £ = £* + £- (see Fig. 2).
![]()

The surface charge density induced on the conductor to give
this field is found by another application of Gauss' theorem: σ=-|E|ε0.
We can integrate this surface charge over the surface of the
conductor to get the total charge induced on the surface.
This proves the statement for a single charge. Since, by the principle of superposition, the fields and forces due to each charge are linearly added, the surface charges induced in a nearby plate by a distribution of charges always add to give a charge equal and opposite to the sum of the charges.
THE AUTHOR
In 1893 Percy Wilson was born in Halifax, Yorkshire, England. Receiving a B.A. in mathematics with first class honors from Oxford in 1915 and an M.A. in 1918, he served as a Naval Instructor in the Royal Navy from 1915 to 1919. During the latter part of this period, he was Lecturer in Applied Mathematics at the Royal Naval Engineering College.
From 1919 to 1938 Mr. Wilson was an administrative officer in the Ministry of Education after which he became Principal Assistant Secretary in charge of the Roads Department of the Ministry of Transport. As a hobby, he acted as Technical Adviser to the British magazine The Gramophone from 1924 to 1938. After his retirement from public service in 1953, Mr. Wilson became Technical Editor of that magazine.
Author of Modern Gramophones and Electrical Reproducers (1929) and The Gramophone Handbook (1957), Mr. Wilson is a member of the Audio Engineering Society and a Founder Member of the British Sound Recording Association.
* Presented October 13, 1964 at the Sixteenth Annual Fall Convention of the Audio Engineering Society, New York.
1. I am indebted to my son, Professor Richard Wilson of Harvard University, for a theoretical explanation of this effect, which is presented in the Appendix.